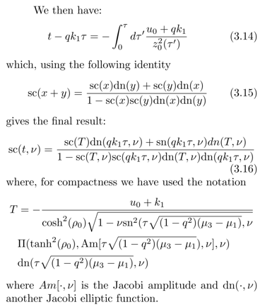
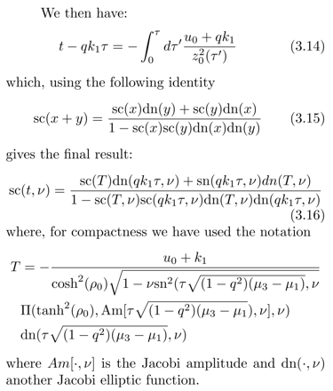
Featured Projects


Deploying a pretrained language model (BART-MNLI) to classify the experience of a cohort of subjects undergoing a breathwork intervention.


Used a data-driven approach (GLM-HMM) to predict an animal's performance in a naturalistic setup by only having access to facial expression.


Solving a simple classification task with a bio-inspired Neural Network.


Developed a general and simple computational method that allows neuroscientists to check the relevance of trial-averages (such as firing rates, PSTHs) in their datasets. Validated this method in two different datasets.


Using optimized CNNs to classify music genres, using Bayesian Optimization and Transfer Learning.




All of the titles and images are clickable, don't miss out!

